Main Logo
  • Login/Join
    • All Websites
  • Discussions
  • Courses
  • Library

Country-specific ForChildren websites, organized by language

  • English
    • English (general)
    • Ghana
    • Malawi
    • Philippines
  • Español
    • Español (general)
    • Bolivia
    • Colombia
    • Ecuador
    • El Salvador
    • Guatemala
    • Honduras
    • Mexico
    • Nicaragua
    • Peru
    • Rep Dominicana
  • Français
    • Haiti
    • Togo
    • Burkina Faso
  • Kiswahili
    • Tanzania
    • Kenya
  • Português
  • አማርኛ
  • ภาษาไทย
  • Uganda
  • Rwanda
  • Zambia
  • Home
  • Library
  • Courses
  • Discussions
  • All Websites
  • Login/Join
All▾
  • All
  • Child Protection
  • Cognitive Development
    • All
    • Science
    • Reading
    • Math
  • Physical Development
    • All
    • Safety
    • Health
  • Socio-Emotional Development
    • All
    • Relationships
  • Spiritual Development
    • All
    • Discipleship
    • Theology
    • Characters of the Bible
    • Bible Stories
  • Life Skills
  • Child Philosophy
  • Church
    • All
    • Philosophy
    • Partnership
  • Monitoring and Evaluation
Search
Categories
  • All
  • Child Protection
  • Cognitive Development
    • All
    • Science
    • Reading
    • Math
  • Physical Development
    • All
    • Safety
    • Health
  • Socio-Emotional Development
    • All
    • Relationships
  • Spiritual Development
    • All
    • Discipleship
    • Theology
    • Characters of the Bible
    • Bible Stories
  • Life Skills
  • Child Philosophy
  • Church
    • All
    • Philosophy
    • Partnership
  • Monitoring and Evaluation

Cancer Update

Preview

Preview

  • Page 1
  • Page 2
  • Page 3
  • Page 4
  • Page 5
Download

Login Required

You must be a member of the ForChildren.com community to download resources. Click the buttons below to sign in or sign up!

PDF • English • 529.8 KB
Tags: Preventative, Disease, Disease Prevention, Health, Healthy Body, Healthy Lifestyle, Healthy Practices, Prevent Disease, Lesson Plan, General Health, 9-11 years
Category Physical Development
Copyright Owner and Year Compassion International, 2015

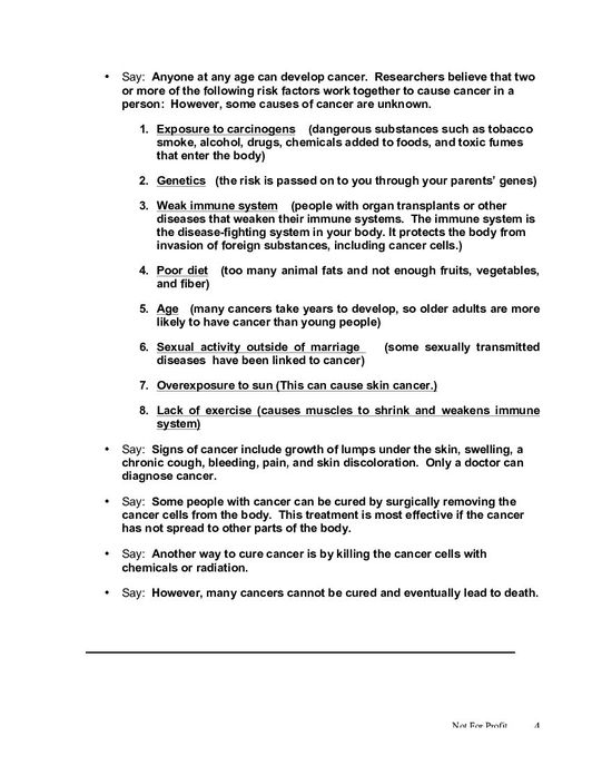
The lesson “Cancer Update” is part 43 of a 46 part series on human development, the human body, health, and safety. This lesson teaches what cancer is and the way cancer is spread in the human body. This resource includes a lesson plan for the teacher on how to prepare beforehand, class- time content to facilitate learning, hands-on activities facilitating further learning, and a teacher assessment at the end. This lesson is designed for a group of young children between the ages of 9 and 11, and is the forty-third physical development lesson in the Core Curriculum, 9-11 years, Year One.

This document is part of: Core Curriculum - Physical - 9 to 11 - Year 1

Discussion


Load all 0 comments, or add your own.

Related Documents


  • Why Can't I Breathe?

    Why Can't I Breathe?

    The lesson “Why Can’t I Breathe?” is part 46 of a 46 part series on human development, the human body, health, and safety. This les…
  • Diseases Where I Live and How to Prevent Them

    Diseases Where I Live and How to Prevent Them

    The lesson “Diseases Where I Live and How to Prevent Them” is part 44 of a 46 part series on human development, the human body, health, a…
  • I Can Prevent Other Diseases

    I Can Prevent Other Diseases

    The lesson “I Can Prevent Other Diseases” is part 40 of a 44 part series on human development, family, health, and safety. This lesson te…
  • Keep a Healthy Heart

    Keep a Healthy Heart

    The lesson “Keep a Healthy Heart” is part 45 of a 46 part series on human development, the human body, health, and safety. This lesson te…
  • Germs and the Body

    Germs and the Body

    The lesson “Germs and the Body” is part 42 of a 46 part series on human development, the human body, health, and safety. This lesson teac…
  • How Do I Get HIV-AIDS?

    How Do I Get HIV-AIDS?

    The lesson “How Do I Get HIV/AIDS?” is part 34 of a 35 part series on human development, the human body, health, and safety. This lesson …
  • I Can Prevent Disease

    I Can Prevent Disease

    The lesson “I Can Prevent Disease” is part 8 of a 46 part series on human development, the human body, health, and safety. This lesson te…
  • HIV-AIDS

    HIV-AIDS

    The lesson “HIV-AIDs” is part 14 of a 46 part series on human development, the human body, health, and safety. This lesson about the HIV/…
  • Core Curriculum - Physical - 9 to 11 - Year 1

    Core Curriculum - Physical - 9 to 11 - Year 1

    Series - 46 Resources
    The Core Curriculum for children between the ages of 9 and 11 years includes 46 individual lessons that help develop the child physically. This set o…
  • Sleep: Pre-teen and Teen Similarities and Differences

    Sleep: Pre-teen and Teen Similarities and Differences

    The lesson “Sleep: Pre-teen and Teen Similarities and Differences” is part 41 of a 46 part series on human development, the human body, h…
  • About
  • Privacy Policy
  • Contact Us
  • Terms of Use

ForChildren.com is presented by Compassion International, a registered 501(c)3 non profit organization. All resources, courses, and discussions are intended for educational use only, not for profit.